1. Introduction
- 알고리즘(Algorithm)은 INPUT -> OUTPUT 하는 일련의 계산과정
- 잘 정의된 계산 문제를 풀기 위한 도구로 볼 수 있음

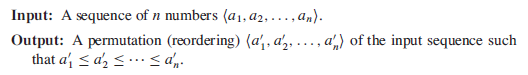
- INPUT이 다음과 같이 주어져 있다면, 정렬을 거치고 나선 OUTPUT은 정렬된 숫자들의 집합으로 나옴
- 실제로 많은 프로그램에선 정렬은 CS에서 가장 중요한 작업임
2. 알고리즘의 특징
- 실제로 현실세계에서도 매우 중요한 역할을 하게된다.
ex) GPS를 이용해 최단거리찾기..
3. 자료구조
- 해당 책에선 여러 자료구조를 다룸
- 자료구조는 자료를 편리하게 접근하고 변경하기 위해 자료를 저장하거나 조직하는 방법을 의미
'CS Study > CLRS (자료구조 | 알고리즘)' 카테고리의 다른 글
| [CLRS] [2-4] Bubble Sort(버블 정렬) (0) | 2024.09.04 |
|---|---|
| [CLRS] [2-3] Merge Sort(병합 정렬) (1) | 2024.09.04 |
| [CLRS] [2-2] Analyzing algorithms (1) | 2024.09.02 |
| [CLRS] [2-1] 삽입 정렬(Insertion sort)? (1) | 2024.09.01 |
| [CLRS] [1-2] Algorithms as a technology (3) | 2024.09.01 |
