1. Introduction
- [4-5] 에선 마스터 정리에 대한 공식을 알아 봤다면, 이 공식이 어떻게 나왔는지 증명을 통해서 알아보자.
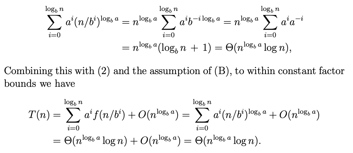
2. Proof
- 1) T(n)을 시그마를 이용하여 정리한다.

- 2) c < log_b(a) 일때

- 3) c = log_b(a) 일 때,

- 4) c > log_b(a) 일 때,

'CS Study > CLRS (자료구조 | 알고리즘)' 카테고리의 다른 글
| [CLRS] [6-1] Heaps (힙) (0) | 2024.10.28 |
|---|---|
| [CLRS] [5-1~4] The hiring Problem (고용 문제) [생략] (0) | 2024.09.11 |
| [CLRS] [4-5] The master method(마스터 정리) (0) | 2024.09.09 |
| [CLRS] [4-4] Recursion Tree Method(재귀 트리) (0) | 2024.09.06 |
| [CLRS] [4-3] The substitution method (2) | 2024.09.06 |
