1. Introduction
1.1. Definition [1] - Random Variable(R.V.)
-Random Variable은 Sample space C에서의 각 원소 c ㅌ C에 오직 하나의 실수 X(c) = x를 대응시키는 함수를 의미한다.
- 약어로 R.V.를 쓴다.
- 이때 Random Variable을 나타내는 함수를 X라고 한다면, range of X는 다음과 같다.

- 이 때 D가 Countable Set이냐 Interval of real Numbers이냐에 따라 X의 명칭이 달라지게 된다.
- 만익 D가 Countable Set이라면 X를 Discrete R.V(이산형 확률변수) 라고 정의하고,
- 만약 D가 Interval of real numbers라면 X를 Continuous R.V.(연속형 확률변수)라고 정의한다.
- 참고로, D에서 정의된 Probability set function을 우리는 Induced Probability Function이라고 부른다.
- 여기서 X가 Discrete R.V.라면 Probability Mass Function(PMF)라고 부르고,
- 만일, X가 Continuous R.V.라면 Probability Density Functuon(PDF)라고 부른다.
- PMF도 PDF라고 명시되어 있는 책들도 많다고 하니, 참고하면 좋을 듯 하다.
- 여기서 명시한 Probability Function 즉, PMF과 PDF는 R.V.의 distribution을 결정해주는 함수라고 생각하면 좋다.
1.2. Definition [2] - Cumulative Distribution Function (CDF)
- CDF는 X가 R.V.일때, -inf부터 X= x까지 합한 확률을 의미한다. 즉, 다음과 같이 정의된다.

- 즉, P( X <= x )를 의미하게 된다는 것이다.
- 간단한 예시를 함께 봐보자.
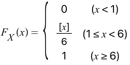
- 주사위 한 개를 던져서 나오는 눈의 수를 R.V. X라고 하고 이 X의 CDF를 그려보자.

- 이를 바탕으로 그래프로 그려보면 다음과 같을 것이다.(해당 CDF는 쉽게 구할 수 있으니 생각해보자.)

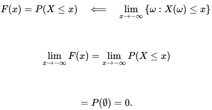
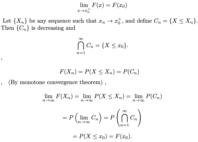
1.3. Theorem [1] - CDF의 성질 4가지
- CDF는 다음과 같이 4가지의 성질을 보인다고 한다.

- 하나씩 증명해보자.
(a)

(b)

(c)

(d) #증명을 내가 잘못했을지도 모르니, 참고로만 보시기 바랍니다.

1.4. Theorem [2] : P[a < X <= b] = F(b) - F(a)
1.5. Theorem [3] : P[X = x] = F(X) - F(X-)
- Theorem 2,3의 증명은 생략하고자 한다.
- 간단히 집합으로 생각해보면 쉽게 유도되니 한번 해보길 바란다.
'Statistic Study > Mathematical Statistics(수리통계학)' 카테고리의 다른 글
| [수리통계학] [6] Continuous Random Variables (0) | 2025.02.24 |
|---|---|
| [수리통계학] [5] Discrete Random Variables (1) | 2025.02.24 |
| [수리통계학] [3] Conditional Probability and Independence (0) | 2025.02.24 |
| [수리통계학] [2] The Probability Set Function (0) | 2025.02.20 |
| [수리통계학] [1] Sets (0) | 2025.02.15 |