1. Review of Set Theory
1.1. Definition [1] : Complement set(여집합)
- A의 complement set의 의미는 전체집합 U의 원소 중 A의 원소가 아닌 것들의 집합이라고 한다.



1.2. Definition [2] : Subset(부분집합)
- A의 모든 원소가 B의 모든 원소에 속하면 A는 B의 subset이라고 말할 수 있다.


1.3. Definition [3] : Union(합집합)
- 두 개이상의 집합에 속하는 원소를 모두 모아놓은 집합을 의미한다.


- 다음과 같은 표현도 가능하다.(countable union)

1.4. Definition [4] : Intersection(교집합)
- 두 개 이상의 집합 모두 존재하는 원소만 모아놓은 집합을 의미한다.


- 다음과 같은 표현도 가능하다 (Countable intersection)

1.5. Definition [5] : disjoint
- A,B가 disjoint하다고 하는건, 다음을 만족할 때를 의미한다.

1.6. Distributive laws
- 다음처럼 분배법칙이 가능하다.

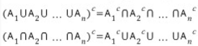
1.7. DeMorgan's Laws
- 드모르간법칙은 다음처럼 전개가 가능하다.

- 해당 DeMorgan's Laws은 다음과 같이 확장도 가능하다.

2. Set Functions
- 기존의 우리가 알던 function들에서 정의역이 set이 되면 그때의 function을 set function으로 정의한다.
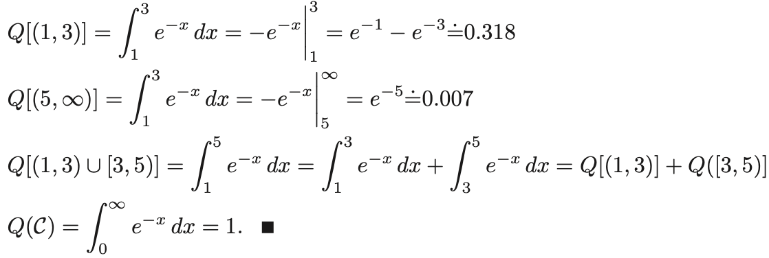
2.1. example
- C = (0,infinity) 일 때, A가 C의 subset이라고 하자.
- 이때 set function Q가 다음처럼 주어져 있다고 생각하자.

- 다음과 같은 계산결과가 나온다.

3. Exercises
- exercises는 이번 챕터는 생략합니다
'Statistic Study > Mathematical Statistics(수리통계학)' 카테고리의 다른 글
| [수리통계학] [6] Continuous Random Variables (0) | 2025.02.24 |
|---|---|
| [수리통계학] [5] Discrete Random Variables (1) | 2025.02.24 |
| [수리통계학] [4] Random Variables (0) | 2025.02.24 |
| [수리통계학] [3] Conditional Probability and Independence (0) | 2025.02.24 |
| [수리통계학] [2] The Probability Set Function (0) | 2025.02.20 |