1. Introduction
1.1. Definition [1] : Expectation
- R.V. X가 이산형인지, 연속형인지에 따라 Expectation을 계산하는 방식이 달라지게 된다.
- 먼저 Discrete R.V. 일 경우 다음과 같이 정의된다.

- 그리고, Continuous R.V.일 경우 다음과 같이 정의된다.

- 일반적인 Averge와 다른점은, Averge는 산술평균을 의미하고,
- Expectation은 가중평균을 의미한다고 생각하면 편하다.
1.2. Theorem [1] : E[g(X)] = ?
- Y = g(X)라고 한다면, 다음과 같이 식이 만족한다.


- 정말 간단하게, E[?] 에서 x자리에 그대로 ?가 들어간다고 생각하면 편하다.
- 증명은 다음과 같이 가능하다.

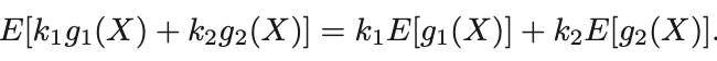
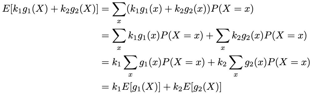
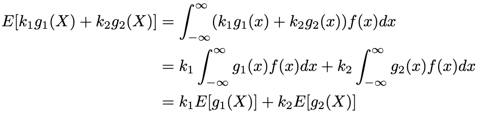
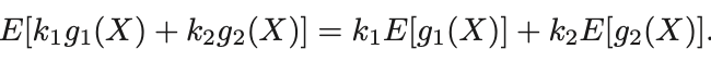
1.3. Theorem [2] : Linearity of Expectation
- Expectation은 선형성을 뛴다고 한다. 즉, 다음과 같이 linear combination이 만족하게 된다.

- 우선 Discrete R.V.일때 다음과 같이 증명할 수 있다.

- Continuous R.V.일때 다음과 같이 증명 가능하다.

'Statistic Study > Mathematical Statistics(수리통계학)' 카테고리의 다른 글
| [수리통계학] [9] Important Inequalities (0) | 2025.02.27 |
|---|---|
| [수리통계학] [8] Some Special Expectations (0) | 2025.02.27 |
| [수리통계학] [6] Continuous Random Variables (0) | 2025.02.24 |
| [수리통계학] [5] Discrete Random Variables (1) | 2025.02.24 |
| [수리통계학] [4] Random Variables (0) | 2025.02.24 |