1. Introduction
1.1. Difinition [1] : mean
- 일반적으로 우리가 평균이라고 불리는 Mu는 다음과 같이 정의된다.

1.2. Difinition [2] : Variance
- 우리가 알고 있는 분산은 다음과 같이 정의된다.

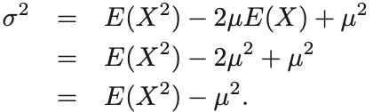
- 해당 완전제곱식을 전개하여 Linearity of Expectation을 이용하여 다음과 같이 분산을 구할 수 있다.

1.3. Theorem [1] : Var(ax+b) = a^2Var(x)
- 증명은 다음과 같이 쉽게 가능하다.

1.4. Difinition [3] : Moment
- 수학에서의 Moment는 다음과 같이 정의된다.

- 이를 통계학에서 Continuous R.V. Expectation을 통해 나타내면 다음과 같이 표현 가능하다.(c = 0)
- E(x^n)으로도 표현 가능하다. (이게 통계학에서의 n-th moment)가 된다.
- 이러한 moment은 f(x)의 모양을 추측해주는 척도로 사용 가능하다.
1.5. Difinition [4] : MGF(Moment Generating Function)
- MGF는 moment를 구하는 강력한 도구라고 생각하면 된다.
- MGF는 확률 변수의 분포를 특성화하는 중요한 개념으로,
- 특히 확률 분포를 다룰 때 기댁밧이나 분산등의 moment를 쉽게 구할 수 있다.
- MGF가 나오게 된 이유는 다음과 같다.
- 실제 moment를 계산하려면 적분을 수행해야하는데, 특정한 확률 분포에서는 적분이 매우 어렵거나 불가능할 수 있다.
- 이 문제를 해결하기 위해 MGF가 등장하였다.
- MGF는 다음과 같이 정의된다.

- 여기서 e^tX는 다음과 같이 exponential function은 taylor Series Expansion을 이용하여 다항식으로 변형이 가능하다.

- 여기서 X에 대해서 정리하면 다음과 같은 식이 유도된다.

- k-th moment를 구하고 싶다면 k번 미분하여 t = 0에서의 값을 구하면 된다.

1.6. Difinition [5] : Skewness and Kurtosis


- 여기서 kurtosis는 3을빼준 값이라고 생각하면 된다.
- 위에서 정의한 식으론 0을 기준으로 보는게아닌 3을 기준으로 보면 된다.
'Statistic Study > Mathematical Statistics(수리통계학)' 카테고리의 다른 글
| [수리통계학] [2.1] Distribution of Two Random Variables (0) | 2025.02.27 |
|---|---|
| [수리통계학] [9] Important Inequalities (0) | 2025.02.27 |
| [수리통계학] [7] Expectation of a Random Variable (0) | 2025.02.25 |
| [수리통계학] [6] Continuous Random Variables (0) | 2025.02.24 |
| [수리통계학] [5] Discrete Random Variables (1) | 2025.02.24 |