1. Introduction
1.1. Derivation
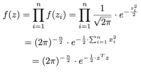
(i) Standard normal case
- z's : N(0,1)
- Z = (z1,z2,...,zn)^T (Random Vector, R.V.들은 iid)
- 우리는 z의 pdf를 구해 볼것이다.

- 여기서 f(z)를 우리는, standard multivariate normal distribution이라고 정의한다.
- mgf을 구하면 다음과 같다.

- n-dimension vector로 이루어져 있기 때문에, t't로 곱해주는 꼴이 나오게 된다.
- 하지만, 기존의 정규분포의 mgf와 거의 유사하다라는 점 기억하면 좋다.
1.2. Spectral Decomposition Theorem(SDT)
- Spectral Decomposition은 symmetric matrix를
- orthogonal matrix와 Diagonal matrix로 decomposition할 수 있다는 정리이다.
- Gamma를 orthogonal matrix, lambda를 diagonal matrix라고 하자
- 그러면 다음과 같이 decomposition된다.

- orthogonal matrix의 특징은 transpose한것과 역행렬이 같다라는 것이다.
- 이를 계산해주면 다음과 같이, eigen value와 orthogonal vector들로 decomposition된다.
- 밑의 과정을 Spectral Decomposition이라고 한다.

- 다시 돌아와서, symmetric matrix을 다음과 같이 decomposition해보자.

- 여기서 우리는 한쪽만 똑 떼서 다음과 같이 정의할 것이다.

- 해당 matrix를 이용해서 R.V X를 다음과 같이 define해보자.

- 해당 R.V의 평균과 분산을 구하기 위해 mgf를 구해보자.

- 해당 mgf를 토대로, 평균과 분산을 구하면 다음과 같다.

- R.V X의 pdf는 다음과 같다.

'Statistic Study > Mathematical Statistics(수리통계학)' 카테고리의 다른 글
| [수리통계학] [4.1] Sampling and Statistics (0) | 2025.03.05 |
|---|---|
| [수리통계학] [3.6] The t and F distribution (0) | 2025.03.05 |
| [수리통계학] [3.4] The Normal Distribution (0) | 2025.03.04 |
| [수리통계학] [3.3] The Gamma,Chi-square, and Beta Distributions (0) | 2025.03.04 |
| [수리통계학] [3.2] The Poisson Distribution (0) | 2025.03.03 |