1. t distribution
- R.V W가 N(0,1) Normal distribution을 따르고, R.V V가 X^2(r) chi-square distribution을 따른다고 하자.
- W와 V가 서로 independent하다고 가정하자.
- 그렇다면, W와 V의 joint pdf h(w,v)는 다음처럼 각각의 pdf의 곱으로 표현된다.

- 여기서, 새로운 R.V T를 다음과 같이 정의해보자.

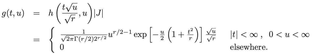
- 해당 변환을 사용하여 T의 pdf를 다음과 같이 유도가능하다.

- 여기서, T와 U(V)의 joint pdf는 다음과 같이 주어지게 된다.

- 해당 식을 통해 T의 marginal pdf를 구해주면 다음과 같다.

- 여기서, T는 chi-square distribution의 degree of freedom을 따르는 t-distribution을 따른다고 할 수 있다.
- 즉, W ~ N(0,1) , V ~ Chi(r)를 따른다면,(독립) T는 t-distribution을 따르게 된다.
- 해당 pdf를 보면 우함수라는 것을 알 수 있으니, 0에서 y축 대칭이다.
- 그리고, degree of freedom이 커지면 커질수록 정규분포에 근사하게 된다.
- E(T) = 0 , Var(T) = r/(r-2)
2. F - distribution
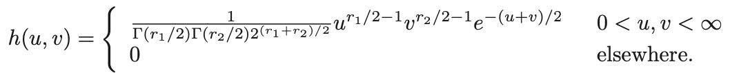
- 두 개의 도립적인 chi-square R.V U와 V가 각각 자유도 r1과 r2를 가진다고 가정하자.
- U와 V의 joint pdf h(u,v)는 다음과 같이 주어진다.

- new R.V를 다음과 같이 한번 정의해보자.


- W와 Z=V의 joint pdf는 다음과 같이 주어지게 된다.

- 이 식을 토대로, w의 marginal pdf를 구해보자.

- U ~Chi(r1) , V ~ Chi(r2)이며, U와 V가 independent하다면,
- R.V는 F-distribution을 따른다고 할 수 있다.

- F-distribution의 성질은 다음과 같다.
"""
i) F - distribution는 degree of Freedom r1 및 r2에 의해 완전히 결정된다.
ii) pdf는 right-skewed이다.
iii) ABOVA나 regression analysis에서 유의성을 검정하는데 사용된다.
"""
2.1. Mean of F-distribution
- F-distribution의 Expectation은 다음과 같이 주어진다.(mgf를 통해 구할 수 있음)

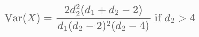
2.2. Variance of F-distribution
- Variance of F-distribution은 다음과 같이 주어진다.(mgf를 통해 구할 수 있음)

3. Student's Theorem
- 해당 절에서 다루는 마지막 내용은 normal random variables에 대한 추론과 관련해서 되게 중요하다.
- Student's Theorem은 다음과 같다.
- X1,X2,...,Xn이 평균 mu 및 분산 sigma^2을 가지는 정규분포를 따르는 iid R.V라고 하자.
- 다음과 같은 두 개의 R.V를 정의해보자.

- 그러면, 다음 4가지 특징을 가지게 된다.
"""


"""
'Statistic Study > Mathematical Statistics(수리통계학)' 카테고리의 다른 글
| [수리통계학] [4.2] Confidence Intervals (0) | 2025.03.06 |
|---|---|
| [수리통계학] [4.1] Sampling and Statistics (0) | 2025.03.05 |
| [수리통계학] [3.5] The Multivariate Normal distribution (0) | 2025.03.05 |
| [수리통계학] [3.4] The Normal Distribution (0) | 2025.03.04 |
| [수리통계학] [3.3] The Gamma,Chi-square, and Beta Distributions (0) | 2025.03.04 |