1. Introduction
1.1. Derivation
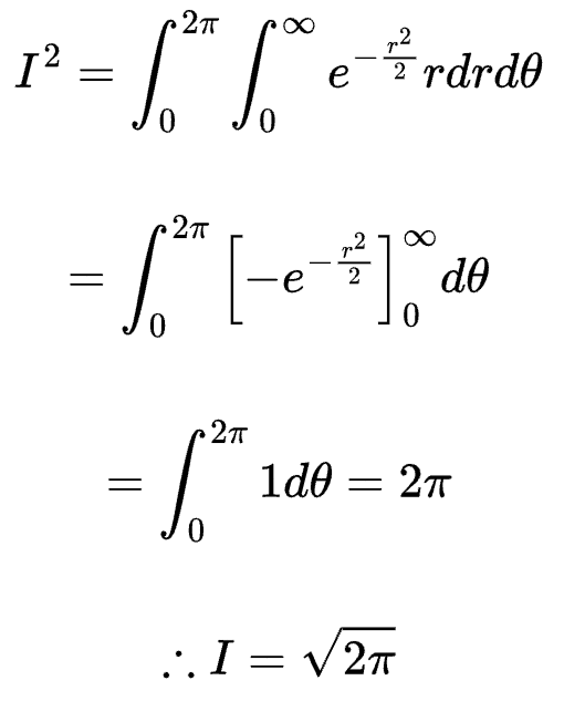
- gamma function에 1/2를 넣은 값을 토대로 pdf을 유도해볼까 한다.


- polar coordinate tansformation을 통해 적분을 풀어가보자.
- x = r cos(theta) , y = r sin(theta)라고 하자

- 따라서, Gamma(1/2) = sqrt(pi)가 된다.


1.2. pdf
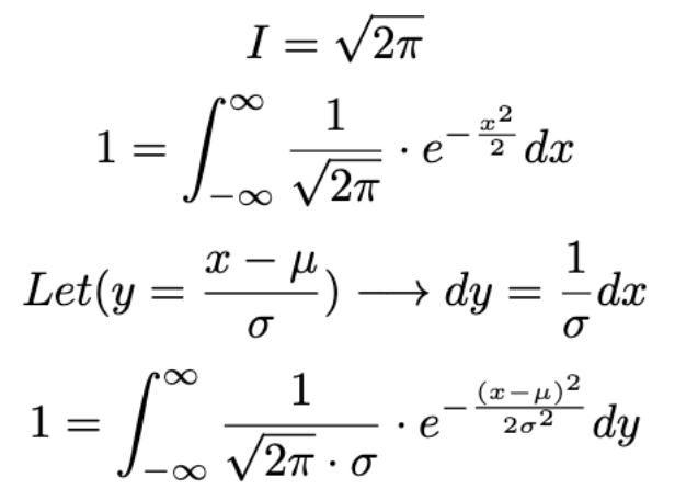
- 이제 Normal Distribution의 pdf을 유도해보자.
- I = sqrt(2pi)라는 걸 이용하여 보일 것이다.

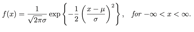
- 여기서 인테그랄 안에 있는 식을 우리는 pdf of N(mu,sigma^2)이라고 한다.

- 평균이 0이고 분산이 1이 될 때 standard normal distribution을 따른다고 말한다.
1.3. Contaminated(Mixture of) Normal Distribution
- 말 그대로 혼합된 분포를 의미한다.

- Z ~ N(0,1)를 따른다고 하자.

- 우리가 찾고자 하는건 다음의 pdf이다.


'Statistic Study > Mathematical Statistics(수리통계학)' 카테고리의 다른 글
| [수리통계학] [3.6] The t and F distribution (0) | 2025.03.05 |
|---|---|
| [수리통계학] [3.5] The Multivariate Normal distribution (0) | 2025.03.05 |
| [수리통계학] [3.3] The Gamma,Chi-square, and Beta Distributions (0) | 2025.03.04 |
| [수리통계학] [3.2] The Poisson Distribution (0) | 2025.03.03 |
| [수리통계학] [3.1] The Binomial and Related Distributions (0) | 2025.03.03 |