1. Properties
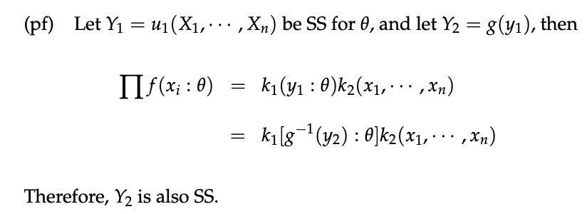
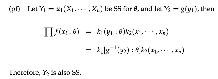
1.1. any one-to-one function of SS is also SS
- SS의 일대일함수는 무조건 SS가 된다는 것이다.
- 다음과 같이 쉽게 증명 가능하다.

1.2. Rao-Blackwell theorem
- Rao-Blackwell Theorem은 어떤 추정량이 있을때,
- SS에 대한 Conditional Expectation을 취함으로써 더 좋은 estimation을 만들 수 있음을 의미한다.


'Statistic Study > Mathematical Statistics(수리통계학)' 카테고리의 다른 글
| [수리통계학] [7.5] The Exponential Class of Distributions (0) | 2025.03.14 |
|---|---|
| [수리통계학] [7.4] Completeness and Uniqueness (0) | 2025.03.14 |
| [수리통계학] [7.2] A Sufficient Statistic for a Parameter (0) | 2025.03.14 |
| [수리통계학] [7.1] Measures of Quality of Estimators (0) | 2025.03.14 |
| [수리통계학] [6.4~6.5] Multiparameter Case : Estimation,Test (0) | 2025.03.13 |