1. Introduction
1.1. definition[1] : Sufficient Statistic

- 여기서 H는 모수에 depend하지 않는다.
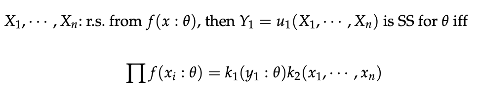
1.2. Neyman's Factorization Theorem
- Neyman's Factorization Theorem은 통계학에서 SS를 찾는데 중요한 이론이다.

- 다음과 같이 분리할 수 있다는 정리이다.
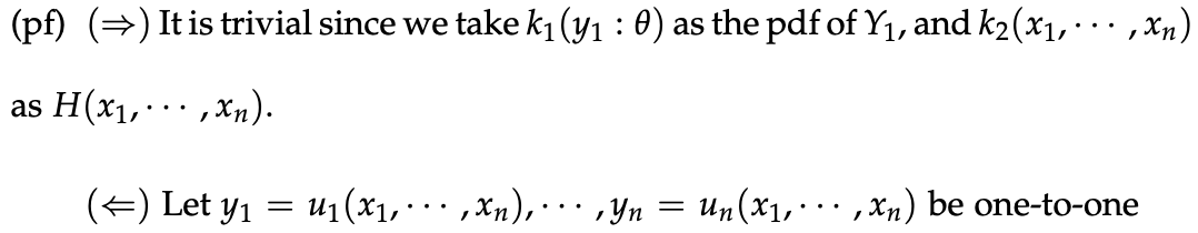
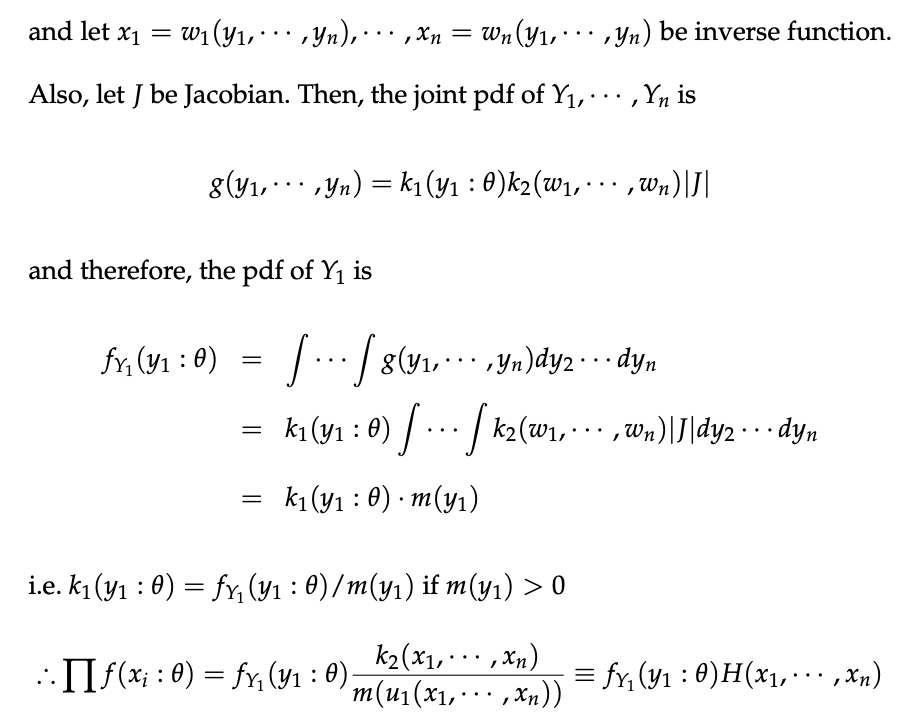
- 증명은 다음과 같이 간단히 할 수 있다.


'Statistic Study > Mathematical Statistics(수리통계학)' 카테고리의 다른 글
| [수리통계학] [7.4] Completeness and Uniqueness (0) | 2025.03.14 |
|---|---|
| [수리통계학] [7.3] Properties of a Sufficient Statistic (0) | 2025.03.14 |
| [수리통계학] [7.1] Measures of Quality of Estimators (0) | 2025.03.14 |
| [수리통계학] [6.4~6.5] Multiparameter Case : Estimation,Test (0) | 2025.03.13 |
| [수리통계학] [6.3] Maximum Likelihood Test (0) | 2025.03.13 |