1. Introduction
- 이 검정은 K.Pearson이 발표한 검정법이다.
- 자세히 알기전에, r x c contingency table에 대해서 알아보자.
- r x c contingency table은 다음과 같다.

- 여기서 X는 개수를 의미한다.
- Chi-square test는 3가지가 존재한다.
"""
i) goodness-of-fit(GOF) test
ii) Homogeneity test
iii) independence test
"""
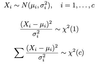
2. GOF test
2.1. Motivation



- 해당 test statistic이 X^2_alpha(c-1)보다 크다면 H0를 기각한다.

3. Homogeneity Test


4. Independence test


'Statistic Study > Mathematical Statistics(수리통계학)' 카테고리의 다른 글
| [수리통계학] [4.9] Bootstrap Procedures (0) | 2025.03.09 |
|---|---|
| [수리통계학] [4.8] The Method of Monte Carlo (0) | 2025.03.09 |
| [수리통계학] [4.6] Additional Comments About Statistical Tests (0) | 2025.03.06 |
| [수리통계학] [4.5] Introduction to Hypothesis Testing (0) | 2025.03.06 |
| [수리통계학] [4.4] Order Statistics (0) | 2025.03.06 |