1. Large Sample Two-Sided Test
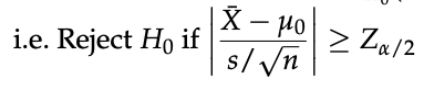
- R.V X1,..,Xn이 평균 mu, 분산 sigma^2인 distribution에서 추출되었다고 가정하자.

- 유의수준 alpha에 대해 다음을 만족하는 경우 H0를 기각하게 된다.

2. p-value(유의확률)
- 검정 통계량 Y = u(X1,...,Xn)에 대해,
-귀무가설을 기각하는 임계값을 c라고하자.
- 괸측된 검정 통계량이 d일때, 밑의 식을 p-value라고 한다.

- p-value는 특정 검정 통계량이 관측된 값보다 극단적인 경우가 나타날 확률을 의미하며,
- 가설을 기각할지 여부를 결정하는 중요한 기준이 된다.
'Statistic Study > Mathematical Statistics(수리통계학)' 카테고리의 다른 글
| [수리통계학] [4.8] The Method of Monte Carlo (0) | 2025.03.09 |
|---|---|
| [수리통계학] [4.7] Chi-square Tests (1) | 2025.03.06 |
| [수리통계학] [4.5] Introduction to Hypothesis Testing (0) | 2025.03.06 |
| [수리통계학] [4.4] Order Statistics (0) | 2025.03.06 |
| [수리통계학] [4.3] Confidence Intervals for Parameters of Discrete Distributions (0) | 2025.03.06 |