1. Convergence in Distribution
1.1. Definition

1.2. Theorem [1]

1.3. Theorem [2]

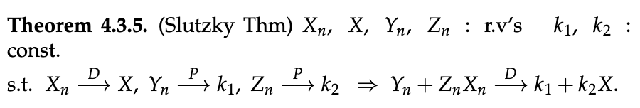
1.4. Theorem [3] : Slutzky Theorem

'Statistic Study > Mathematical Statistics(수리통계학)' 카테고리의 다른 글
| [수리통계학] [6.1] Maximum Likelihood Estimation (0) | 2025.03.09 |
|---|---|
| [수리통계학] [5.3] Central Limit Theorem(CLT) (0) | 2025.03.09 |
| [수리통계학] [5.1] Convergence in Probability (0) | 2025.03.09 |
| [수리통계학] [4.9] Bootstrap Procedures (0) | 2025.03.09 |
| [수리통계학] [4.8] The Method of Monte Carlo (0) | 2025.03.09 |