1. Introduction
1.1. Theorem [1] : Central Limit Theorem(CLT)
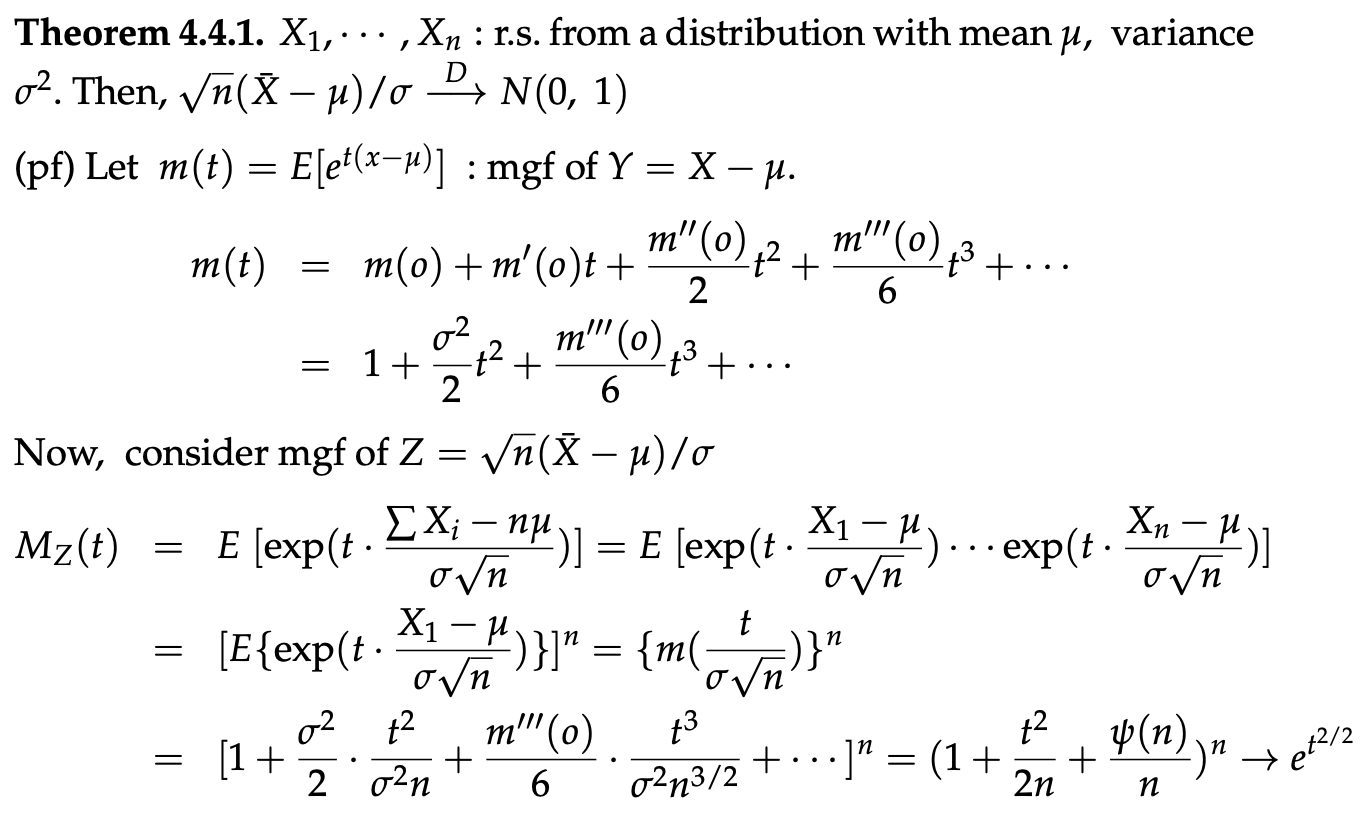
- X1,...,Xn : iid(random sample) from a distribution이라고 하자.(어떤 분폰지 모름)
- E(X1) = mu , Var(X1) = sigma^2

- 즉, 표본 평균의 분포가 정규분포에 근사하게 된다는 것이다.
- 증명은 다음과 같이 가능하다.

- 마지막은 t^2을 2로 나눠준게 지수에 있는거라고 생각하자.(오타)
- mgf는 유일한데, N(0,1)의 mgf와 같기 때문에 N(0,1)에 근사하게 된다고 볼 수 있다.
'Statistic Study > Mathematical Statistics(수리통계학)' 카테고리의 다른 글
| [수리통계학] [6.2] Rao–Cramer Lower Bound and Efficiency (0) | 2025.03.11 |
|---|---|
| [수리통계학] [6.1] Maximum Likelihood Estimation (0) | 2025.03.09 |
| [수리통계학] [5.2] Convergence in Distribution (0) | 2025.03.09 |
| [수리통계학] [5.1] Convergence in Probability (0) | 2025.03.09 |
| [수리통계학] [4.9] Bootstrap Procedures (0) | 2025.03.09 |